屏蔽波導管(窗)的計算方法
在屏蔽室設計建設工程中,經常需要使用到波導管、波導窗等設備。那么這類設備的屏蔽效能以及屏蔽截止頻率是如何確定的,通過本篇文章您將有一個系統的了解。
一、工程實踐中常用經驗
波導通道的長度為L,波導通道的寬度為D,L/D>5,可以達到電磁波的完全屏蔽。
二、波導理論所述波導管截止頻率與波導管長度、寬度的關系
1、金屬波導管的截止頻率只與波導管橫截面的內尺寸有關

其中d為矩形波導管的寬邊長度;a表示圓形波導管的直徑;W為六邊形波導管的外接圓直徑,單位為cm。
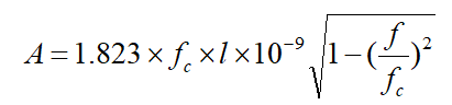
2、低于截止頻率的電磁波從波導管的一段傳輸至另一端的衰減與波導管的長度成正比

其中A為截止波導的衰減量(即屏蔽效能)(dB),f為電磁波的頻率,為截止波導的長度(cm)。在的條件下,可得三種波導管的屏蔽效能分別為:

三、設計截止波導一般依據
1、首先應根據欲屏蔽的電磁波的頻率確定。為使波導有足夠的衰減,應滿足,一般選取=(5~10);
2、根據設備的結構和加工條件選擇波導的形狀,并由的表達式計算橫截面積尺寸。
3、根據屏蔽效能計算截止波導管的長度,一般要求長度為直徑的3倍以上。(≥3a)。
四、根據以上原理,對波導管做如下計算。
條件1:由于波導管截止頻率僅與橫截面尺寸有關。則可根據橫截面尺寸反推截止頻率。
條件2:根據GB/T 12190-2006《電磁屏蔽室屏蔽效能的測量方法》查詢電磁屏蔽室屏蔽效能測試頻率范圍與屏蔽效能要求。得到如下條件
軍用電磁屏蔽室測量范圍9KHz---18GHz
一般屏蔽室測量范圍14KHz---10GHz
軍用電磁屏蔽室屏蔽效能要求≥100dB
I級屏蔽室屏蔽效能要求≥80dB
由于測量誤差,預期屏蔽效能應大于設計效能6dB
計算:根據10GHz,80dB要求計算所需波導管規格
正六邊形波導管寬度=0.3cm
所需長度=0.9cm
在屏蔽室實際使用過程中,我們還有許多辦法用以提升該類型設備的屏蔽效能,采用交錯疊放的蜂窩狀波導板可以大大提高屏蔽效果。需要注意的是,波導管類型的設備中間小孔或波導管中禁止穿過金屬物體,這樣會完全破壞其屏蔽效能。在實際應用過程中,屏蔽室檢測之前需要對波導管、波導窗進行檢查,使用吹風機將內部金屬碎屑吹出,以確保屏蔽效能的完整。




豫公網安備41030402000058號